EN
×
EN
  • 业务咨询

    中国:

    Email: marketing@medicilon.com.cn

    业务咨询专线:400-780-8018

    (仅限服务咨询,其他事宜请拨打川沙总部电话)

    川沙总部电话: +86 (21) 5859-1500

    海外:

    +1(781)535-1428(U.S.)

    0044 7790 816 954 (Europe)

    Email:marketing@medicilon.com

在线留言×
点击切换
News information
新闻资讯

统观10年新药注册审批,深挖2017企业研发布局

2018-01-18
|
访问量:
2017已经过去,我们迎来了2018全新的一年。回首昨天,医药行业走过了不容易却也是各有收获的一年,笔者为大家精心准备了2017年药品注册专题系列文章。
 

国内新药申请总体情况

2017年已经过去,对于医药界,业内最关注的也许就是年度新药申报情况,以下我们一起来看看。
 
图1  2008-2017年新药申报情况
 
从图1可以看出近十年新药的整体申报趋势,2015年达到申报高峰,为2976个(以受理号计,下同),2016年大幅度下滑。化药新药申报情况与总体趋势一致,这与化药仿制一致性评价、食药监局对医药市场的规范化监督有密不可分的关系。2017年截至12月31日,总的申报数量相比2016年有所降低,为619个。值得一提的是,我们可以看到在近十年间,生物制品新药的申请总体态势趋好,今年达到最高为193个,这也是与近几年生物医药发展热相契合。
 

2017年新药申请情况

1、生物制品新药申请情况

1.1各地区申报情况
2017年生物制品新药申请地区热度,数量排名靠前3的为上海、广东、江苏。
 
图2  2017年各地区生物制品新药申请情况
 

1.2企业申报情况

生物制品新药申请中,数量最多的为上海生物制品研究所,达7个;其次是齐鲁、江苏恒瑞、百奥生物,申报5个药品。
 
图3  2017年生物制品新药申请企业排名
 

1.3生物制品1类申请

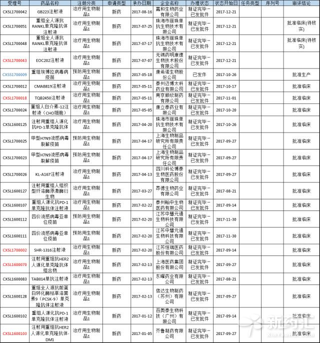
2017年生物制品1类(未在国内外上市销售的治疗用生物制品、未在国内外上市销售的疫苗)申请共计76个,占总的39.38%,其中制证完毕已发批件的有22个(如表1所示),其余54个均还在审评审批中。另外在这些1类新药申请之中有28个特殊审批、2个优先审评。
 
表1  2017年生物制品1类新药申请获批情况
 (注:红色为特殊审批,蓝色为特殊、优先审评,由于篇幅有限,仅选取已经制证完毕的药物,完整数据请点击“阅读原文”,进入药智新闻下载)
 
1.3.1特、优品种重组埃博拉病毒疫苗
2017年生物制品1类新药的重头戏可说就是重组埃博拉病毒疫苗,从开始到最终批准生产都受到国内外广泛关注,这也是新一轮政策之下国家药审中心的一次创举。康希诺生物公司至此也在大众视野火热了一把,也为今后的发展打好了基础。
 
1.3.2五个特殊审批品种获批临床
国内名企齐鲁制药、江苏恒瑞、上海医药集团、南京顺新、无锡药明康德今年申报的五个特殊审批品种获得了临床批件。其中齐鲁制药的注射用重组抗HER2人源化单克隆抗体-DM1也获得了临床批件,此药是齐鲁的潜力生物制品。另外上海医药的研发重心产品注射用重组抗HER2人源化单克隆抗体组合同样在今年获批临床,此药是新型人用重组单克隆抗体制品,拟用于 HER2 阳性的转移性乳腺癌,国内外已上市的同靶点同类药物包括:罗氏制药的曲妥珠单抗(Herceptin)和帕妥珠单抗(Perjeta)。而上海医药的注射用重组抗 HER2 人源化单克隆抗体组合物具有自主知识产权,目前在国内无相同产品上市。
 
1.3.3珠海丽珠单抗
今年珠海丽珠单抗有3个(以受理号计)药品获批临床,收获很大,分别是两个规格的重组全人源抗RANKL单克隆抗体注射液以及注射用重组人源化抗PD-1单克隆抗体。国内能够自主研发单抗创新药的龙头企业本就不多,而丽珠就是其中一位。PD-1单抗是第一个上市的免疫检查点单抗,国内外市场规模巨大,目前国内没有上市,且目前国内获批临床以“PD-1”为靶点的单抗药物厂家共计9家,竞争虽然激烈,但丽珠研发扎实、技术工艺沉淀深厚,前景良好。
 
1.3.4 常见病毒疫苗获批临床
上海生物制品的H7N9基因疫苗从刚开始研制成功就受到广泛的关注,这为今后病毒防治打下了良好的基础。2017年9月,甲型H7N9流感疫苗批准临床。另外江苏中慧元通研发的四价亚单位流感疫苗也在2017年11月获批临床,中慧元通此疫苗对流感病毒感染的预防具有更好的安全性,能够更好地保护3岁以下婴幼儿,其产品不仅能够填补国内外市场空白,还将为接种人群提供安全性更好、保护范围更广的预防流感的疫苗产品。
 

2、化药新药申请情况

2.1各地区申请情况

化药一直是研发的大类,2017年的新药申请虽然不如以往,但也仍旧比中药、生物药有优势。在全国各地区中我们可以看到申报数量较多的为江苏、广东、上海、浙江。均是沿海发达城市,也是制药大企业聚集所在地(如图5所示)。
 
图4  2017年各地区化药新药申请情况
 

2.2企业申报情况

化药新药申报排名前三的企业为江苏恒瑞、广东东阳光、正大天晴(包含子公司正大天晴有14个受理)。江苏恒瑞、正大天晴历来为化药研发名企,其实力经久不退。广东东阳光今年潜力爆发,在化药新药的申报上赶超其他公司,可说是厚积薄发。从2013年至2017年,东阳光共计在药审中心申报新药64个,其中化药63个,其中有12个特殊审批、4个优先审评、3个重大专项:磷酸依米他韦原料药、两个规格的磷酸依米他韦胶囊,化药1(1.1)类共计53个。在总的新药申请中除了埃索美拉唑镁肠溶胶囊的两个批件不批准,其他全部批准临床。可见广东东阳光虽说在总的数量上不如有些企业,但其布局的少量药品均是市场好药,研发实力在节节攀升。
 
图5  2017年化药新药申请企业排名
 

2.3 化药1(1.1)类新药申请

 2017年化药新药1(1.1)类共计申报324个,占比83.29%,可见虽然2017年化药新药有所减少,但1(1.1)类新药同比却增加了34.57%。其中制证完毕-已发批件的药品有174个(如表2所示),审批完毕-待制证的8个,制证完毕-待发批件的1个,总计审评完毕的占比56.48%。从数据可以看出,国家如今追求的不再是制药数量大国,而是药品质量大国。同时国家布局新药的战略逐步成熟,审评审批速度逐渐加快,不会再出现累积大量审评的情况。
 
表2  2017年化药1类新药申请获批情况
 (注:滑动查看数据表,红色为特殊审批,由于篇幅有限,仅选取已经审评完毕的药物,完整数据请点击“阅读原文”,进入药智网下载)
 
2.3.1化药1类申请排名前三:东阳光、恒瑞、广东众生
2017年广东东阳光申报的20个化药1类新药(按受理号计,下同)批准临床,这份战绩让人叹服。分别为利他匹仑及其片剂、康达瑞韦钠及其片剂、HEC68498钠盐及其胶囊剂、HEC30654AcOH及其胶囊剂、HEC74647PA及其胶囊剂;恒瑞有12个化药1类新药获批临床,分别为SHR9549及其片剂、SHR9146片剂、SHR0532片剂、SHR8554注射液、SHR1459片剂;广东众生药业共计10个1类新药获批临床,分别为ZSP0391及其片剂、ZSP1603及其胶囊。
 
2.3.2 117个特殊审批获批临床
2017年被列入特殊审批的化药1类新药,有117个获批临床,占特殊审批总数的96.69%,审评效率较高。
 
2.3.3 吉林英联尚德的化药1.1类
2017的化药1.1类相对较少,仅有两个受理号,为吉林英联尚德科技开发有限公司的苯唑嗪及其胶囊剂(如表3所示),适应症为原发性轻、中度高血压,对于单独用药难以控制血压的患者,可与利尿剂、β受体阻滞、钙拮抗剂或血管紧张素转化酶抑制剂(ACEI)合用。
 
表3  2017年化药1.1类新药申请情况
 (注:红色为特殊审批)
 

3、中药新药申请情况

3.1各地区申请情况
中药新药申报地区分布较多的为江苏、上海、北京,这几个地区也是中医药产业较为发达的地区。
 
图6  2017年各地区中药新药申请情况

3.2企业申报情况

 中药新药申报企业排名靠前的为江苏康缘药业、和记黄埔医药、济川药业集团、北京中研同仁堂、重庆秋纹。虽然数量不及化药、生物药,可以说是很少,但是在中药发展不利的环境之中,仍旧能够有新的中药研发,实属不易。
 
图7  2017年中药新药申请企业排名
  

3.3 中药新药申请

2017年中药新药申请总数不多,仅37个(如表4所示),相比2016年仅增加了5个。随着社会对药品质量要求的攀升,对于药品安全的追溯要求也越来越严格,中药在发展中遇到了一些阻力。但就在2017年《中医药法》正式实施,也在为中药开通新的发展渠道。2017年无疑是中药在新时代新政下的适应期,我们也相信经历此前的低谷,会有不一样的新状态出现。
 
表4  2017年中药新药申请情况
(注:紫色为优先审评)
 
3.3.1新时期新发力,重庆秋纹中药1类
2017年12月CDE承办了重庆秋纹公司中药1类新药JNSW10032以及其片剂的IND申报,目前在审评审批中。这也是2017年唯一一个中药1类新药。据公开信息,重庆秋纹公司于2017年8月1日成立,经营生物技术研发、新药及医疗器械的研发及技术转让。可以预测这个产品将会成为公司未来的品牌。
 
3.3.2  25个6(6.1)类新药
中药新药承办中,6类较多,有25个受理号,占比67.57%。其中小儿清疹口服液、培土清心颗粒被列为优先审评之列,目前已经批准临床。另外还有天胡胶囊、补气通络颗粒也已经批准临床。


相关新闻
×
搜索验证
点击切换